このページの目次
arg
複素数の偏角を返します。
構文: arg (Exp/Eq/List/Mat [ ) ]


conjg
共役複素数を返します。
構文: conjg (Exp/Eq/Ineq \(\small{\neq}\) /List/Mat [ ) ] (Ineq \(\small{\neq}\) : 複素数計算がオフの場合のみ)


re
複素数の実数部分を返します。
構文: re (Exp/Eq/Ineq \(\small{\neq}\) /List/Mat [ ) ] (Ineq \(\small{\neq}\): 複素数計算がオフの場合のみ)


im
複素数の虚数部分を返します。
構文: im (Exp/Eq/Ineq \(\small{\neq}\) /List/Mat [ ) ] (Ineq \(\small{\neq}\): 複素数計算がオフの場合のみ)


cExpand 
複素数の式を直交形式(\(a+b_i\))に展開します。
構文: cExpand (Exp/Eq/List/Mat [ ) ]
変数は実数として扱われます。


compToPol 
複素数を極形式に変換します。
構文: compToPol (Exp/Eq/List/Mat [ ) ]


compToTrig 
複素数を三角関数/双曲線形式に変換します。
構文: compToTrig (Exp/Eq/List/Mat [ ) ]


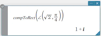
compToRect 
複素数を直交形式に変換します。
構文: compToRect (\(∠(r, \theta)\) または \(r \cdot e\)^\((\theta \cdot i)\) 形式 [ ) ]

