このページの目次
approx
simplify
expand
factor
rFactor
factorOut
combine
collect
tExpand
tCollect
expToTrig
trigToExp
toFrac
propFrac
dms
toDMS
approx
式を近似値に変換します。
構文: approx (Exp/Eq/List/Mat/変数 [ ) ]


simplify 
式を単純化します。
構文: simplify (Exp/Eq/List/Mat/変数 [ ) ]


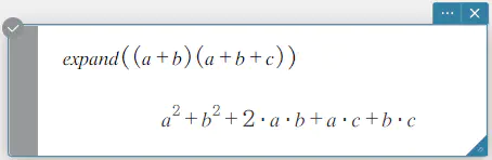
expand 
式を展開します。
構文: expand (Exp/Eq/List/Mat/変数 [ ) ]
expand (Exp, 変数 [ ) ]



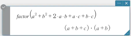
factor 
式を因数分解します。
構文: factor (Exp/Eq/List/Mat/変数 [ ) ]


rFactor 
無理数の範囲まで因数分解できる場合は、無理数の範囲まで式を因数分解します。
構文: rFactor (Exp/Eq/List/Mat/変数 [ ) ]


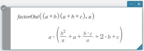
factorOut 
指定した因数を式から括りだします。
構文: factorOut (Exp/Eq/Ineq/List/Mat, Exp [ ) ]


combine 
複数の分数を通分し、その後可能であれば約分します。
構文: combine (Exp/Eq/List/Mat/変数 [ ) ]


collect 
特定の変数について式を整理します。
構文: collect (Exp/Eq/List/Mat/変数[, Exp] [ ) ]


tExpand 
加法定理を使って、三角関数を展開します。
構文: tExpand (Exp/Eq/Ineq/List/Mat [ ) ]


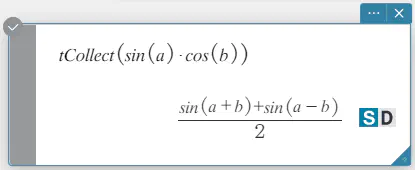
tCollect 
積和の公式を使って、三角関数の積を和の形式の式に変換します。
構文: tCollect (Exp/Eq/Ineq/List/Mat [ ) ]


expToTrig 
指数形式を三角関数または双曲線関数に変換します。
構文: expToTrig (Exp/Eq/Ineq/List/Mat [ ) ]


trigToExp 
三角関数または双曲線関数を指数形式に変換します。
構文: trigToExp (Exp/Eq/Ineq/List/Mat [ ) ]


toFrac
小数を分数に変換します。
構文: toFrac (Exp/Eq/List/Mat/変数 [ ) ]


propFrac
小数を真分数に変換します。
構文: propFrac (Exp/Eq/Ineq/List/Mat [ ) ]


dms
度分秒形式の値を、度の値に変換します。
構文: dms (Exp/List-1 [, Exp/List-2][, Exp/List-3] [ ) ]


toDMS
度の値を、度分秒形式の値に変換します。
構文: toDMS (Exp/List [ ) ]

